兰州化物所生物质分子选择氧化制含羰化学品取得新进展
作为一种发展前景良好的生物能源,生物柴油的规模化生产受到广泛关注。然而,生物柴油生产中产生大量甘油,过剩甘油的利用成为亟需解决的问题。构建高效催化材料,在较温和条件下将甘油转化为高附加值化学品是甘油高值化利用的有效途径。
中国科学院兰州化学物理研究所羰基合成与选择氧化国家重点实验室石峰课题组致力于甘油-含氮化合物协同转化高效催化体系的构建(ChemSusChem, 2016, 9, 3133-3138/VIP;RSC Adv., 2015, 5, 7970-7975; ACS Catal., 2013, 3, 808-811)。

生物基可降解聚合物聚乙醇酸的主要用途
他们在研究铜镍复合材料催化硝基苯-丙三醇协同转化反应过程中观察到了少量乙醇酸的生成,其原因在于产物甘油酮进一步的氧化断链,而铜镍复合催化材料中所含的铜是导致甘油酮断链生成乙醇酸的活性组分。受到这一结果启示,他们与德国莱布尼兹催化研究所Angelika Brueckner教授合作,制备出一系列不同结构的三氧化二铝负载铜催化材料并对其催化甘油酮选择氧化合成乙醇酸进行了系统的研究(乙醇酸是生物基可降解聚合物聚乙醇酸合成的主要单体)。结果表明,当以双氧水为氧化剂,三氧化二铝负载铜催化剂中铜的结构从纳米级逐渐减小到单一活性位点时获得了最好的乙醇酸选择性,其最终收率可达94%。



三氧化二铝负载单一活性位点铜的EPR、EXAFS和HR-TEM图片
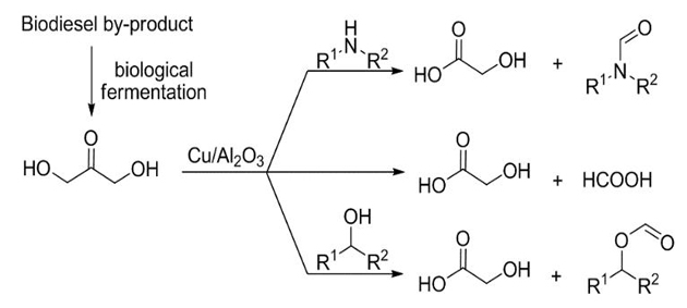
进一步研究发现,在甘油酮氧化断键生成乙醇酸时可生成一分子的甲酸,而由于甲酸进一步被氧化为二氧化碳,导致甲酸的收率只有41%。为了提高甘油酮中碳的利用效率,研究人员通过加入胺或醇将这一分子碳成功转化为甲酰胺或者甲酸酯且获得了90%以上的收率。与此同时,乙醇酸的收率和双氧水的利用率也都达到90%以上,从而实现了甘油酮中碳的完全利用。

甘油酮、醇/胺协同活化转化
研究人员对反应过程进行原位顺磁共振(In-situ EPR)研究发现,在催化剂Cu/Al2O3存在下双氧水产生HO·和O2·自由基,然后HO·自由基进攻甘油酮发生反应。原位红外(In-situ ATR-IR)表征发现,随着甘油酮催化氧化反应的进行,乙醇酸和甲酸同步生成。当第二组分胺加入到反应中时, HO·自由基与胺反应生成胺自由基并进一步与甘油酮反应直接转化为甲酰胺。

典型的原位EPR谱图(a)催化剂+DMPO+H2O2和(b)催化剂+DMPO+H2O2+甘油酮

典型的原位ATR-FTIR谱图(a)乙醇酸和甲酸合成和(b)乙醇酸和甲酰胺合成
基于上述结果,研究人员提出了反应的机理。

甘油酮-胺协同活化转化机理
该工作近期在线发表在Angewandte Chemie International Edition (https://onlinelibrary.wiley.com/doi/10.1002/anie.201814050)。工作得到了国家自然科学基金、国家重点研发计划和兰州化物所“一三五”重点培育项目的长期支持。
